[分享] 近10年台韓澳一級國際賽得失分數據
包含17 23 跟26預賽的wbc比賽(排除掉實力差距過大的中國跟捷克的比賽),以及19 24
十二強的比賽
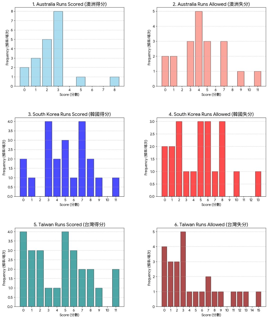
https://i.mopix.cc/YHvGxG.jpg

澳洲一共20場比賽
5勝15敗,勝率0.25
平均一場得2.5分,標準差1.76
Q1=1.75 Q2=2.5 Q3=3
四分位距=1.25
平均一場失4.35分,標準差2.85
Q1=3 Q2=4 Q3=5.5
四分位距=2.5
投手戰比例(得失分都<=3的場次比例):6/20=30%
打擊戰比例(得失分都>=5的場次比例):1/20=5%
澳洲的得分能力穩定弱,雖然不容易被完封,但得分<=3的比例高達80%,
加上失分也壓不太住,所以對手只要能從澳洲手中攻下至少3分,澳洲幾乎穩輸(1勝15敗)
相反的,澳洲只要失分不到3分,幾乎穩贏(4勝0敗)
結論:澳洲打擊能力非常穩定弱,而投手能力穩定普通,導致只要失分一多,幾乎就無力
回天
韓國一共21場比賽
10勝11敗,勝率0.476
平均一場得5.05分,標準差2.92
Q1=3 Q2=5 Q3=7
四分位距=4
平均一場失4.86分,標準差3.44
Q1=2 Q2=5 Q3=7
四分位距=5
投手戰比例(得失分都<=3的場次比例):2/21=9.5%
打擊戰比例(得失分都>=5的場次比例):5/21=23.8%
韓國為打擊穩定強的球隊,導致想贏韓國關鍵在於能否突破韓國投手,在失分<=4分的情
況,韓國幾乎穩贏(韓國8勝1敗)(台灣11勝5敗)(澳洲4勝8敗)
結論:韓國打擊能力穩定強,要靠投手封鎖住韓國打線難度極高,想贏韓國幾乎都要靠突
破韓國的投手才行
台灣一共26場比賽
13勝13敗,勝率0.5
平均一場得4.42分,標準差3.4
Q1=1.25 Q2=5 Q3=6.75
四分位距=5.5
平均一場失4.65分,標準差4.36
Q1=1.25 Q2=3 Q3=7
四分位距=5.75
投手戰比例(得失分都<=3的場次比例):8/26=30.8%
打擊戰比例(得失分都>=5的場次比例):7/26=26.9%
台灣得分跟失分都極為不穩定
場均得分比澳洲多快2分,但得分<=1分的場次比例卻還比澳洲高一點
(台灣26.9% 澳洲25% 韓國14.3%)
場均失分介於韓澳之間,但失分<=3分的比例卻遠優於其他兩國
(台灣57.7% 澳洲35% 韓國38.1%)
而開魯閣的比例又是三國中最高的
(台灣15.4% 澳洲5% 韓國9.5%)
結論:不論是打擊還是投球表現都是起伏很大,很容易陷入投手戰,也很容易陷入打擊戰
,算是骰子型球隊
--
※ 發信站: 批踢踢實業坊(ptt.cc), 來自: 114.137.193.49 (臺灣)
※ 文章網址: https://www.ptt.cc/bbs/Baseball/M.1773226645.A.795.html
推
03/11 19:00,
1小時前
, 1F
03/11 19:00, 1F
推
03/11 19:00,
1小時前
, 2F
03/11 19:00, 2F
推
03/11 19:02,
1小時前
, 3F
03/11 19:02, 3F
推
03/11 19:05,
1小時前
, 4F
03/11 19:05, 4F
推
03/11 19:06,
1小時前
, 5F
03/11 19:06, 5F
推
03/11 19:30,
1小時前
, 6F
03/11 19:30, 6F
Baseball 近期熱門文章
27
35
PTT體育區 即時熱門文章